Tokens
What are Tokens
By Avalanche / 3 Minute Read
AVAX Token
Learn about the native token of Avalanche Primary Network.
AVAX is the native utility token of Avalanche. It's a hard-capped, scarce asset that is used to pay for fees, secure the platform through staking, and provide a basic unit of account between the multiple Avalanche L1s created on Avalanche.
Note1 nAVAX
is equal to 0.000000001 AVAX
.
Utility
AVAX is a capped-supply (up to 720M) resource in the Avalanche ecosystem that's used to power the network. AVAX is used to secure the ecosystem through staking and for day-to-day operations like issuing transactions.
AVAX represents the weight that each node has in network decisions. No single actor owns the Avalanche Network, so each validator in the network is given a proportional weight in the network's decisions corresponding to the proportion of total stake that they own through proof of stake (PoS).
Any entity trying to execute a transaction on Avalanche pays a corresponding fee (commonly known as "gas") to run it on the network. The fees used to execute a transaction on Avalanche is burned, or permanently removed from circulating supply.
Tokenomics
A fixed amount of 360M AVAX was minted at genesis, but a small amount of AVAX is constantly minted as a reward to validators. The protocol rewards validators for good behavior by minting them AVAX rewards at the end of their staking period. The minting process offsets the AVAX burned by transactions fees. While AVAX is still far away from its supply cap, it will almost always remain an inflationary asset.
Avalanche does not take away any portion of a validator's already staked tokens (commonly known as "slashing") for negligent/malicious staking periods, however this behavior is disincentivized as validators who attempt to do harm to the network would expend their node's computing resources for no reward.
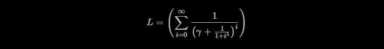
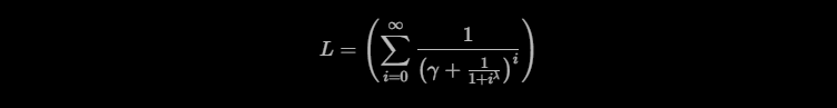
AVAX is minted according to the following formula, where RjRjis the total number of tokens at year jj, with R1=360MR1=360M, and RlRlrepresenting the last year that the values of γ,λ∈Rγ,λ∈R were changed; cjcjis the yet un-minted supply of coins to reach 720M720M at year jj such that cj≤360Mcj≤360M; uu represents a staker, with u.samountu.samountrepresenting the total amount of stake that uu possesses, and u.stimeu.stimethe length of staking for uu.
AVAX is minted according to the following formula, where RjRjis the total number of tokens at:

where,

At genesis, c1=360Mc1=360M. The values of γγ and λλ are governable, and if changed, the function is recomputed with the new value of c∗c∗. We have that ∑∗ρ(∗)≤1∑∗ρ(∗)≤1. ρ(∗)ρ(∗) is a linear function that can be computed as follows (u.stimeu.stimeis measured in weeks, and u.samountu.samountis measured in AVAX tokens):

If the entire supply of tokens at year jj is staked for the maximum amount of staking time (one year, or 52 weeks), then ∑∀uρ(u.samount,u.stime)=1∑∀uρ(u.samount,u.stime)=1. If, instead, every token is staked continuously for the minimal stake duration of two weeks, then ∑∀uρ(u.samount,u.stime)=0.9∑∀uρ(u.samount,u.stime)=0.9. Therefore, staking for the maximum amount of time incurs an additional 11.11% of tokens minted, incentivizing stakers to stake for longer periods.
Due to the capped-supply, the above function guarantees that AVAX will never exceed a total of 720M720M tokens, or limj→∞R(j)=720Mlimj→∞R(j)=720M.